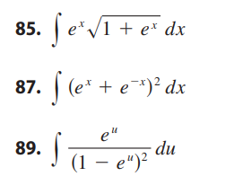
Question: Evaluate the integral. e x 1 + e x 2 d x e u ( 1 - e u ) 2 d u
Evaluate the integral.
Step by Step Solution
There are 3 Steps involved in it
1 Expert Approved Answer
Step: 1 Unlock
Question Has Been Solved by an Expert!
Get step-by-step solutions from verified subject matter experts
Step: 2 Unlock
Step: 3 Unlock
