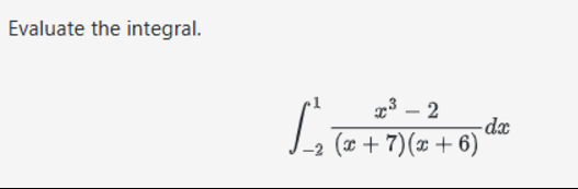
Question: Evaluate the integral. int _ ( - 2 ) ^ 1 ( x ^ ( 3 ) - 2 ) / ( ( x
Evaluate the integral.
intxxxdx
Step by Step Solution
There are 3 Steps involved in it
1 Expert Approved Answer
Step: 1 Unlock
Question Has Been Solved by an Expert!
Get step-by-step solutions from verified subject matter experts
Step: 2 Unlock
Step: 3 Unlock
