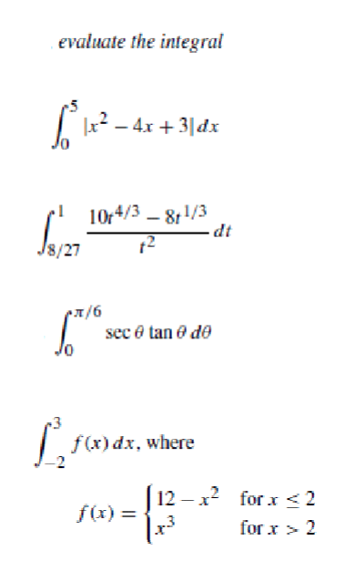
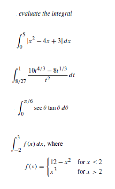
Question: evaluate the integral |x2 - 4x + 3/dx 0 10/4/3 _ 8+1/3 dt 8/27 sec e tan e do JO f(x) dx, where 2 12


evaluate the integral |x2 - 4x + 3/dx 0 10/4/3 _ 8+1/3 dt 8/27 sec e tan e do JO f(x) dx, where 2 12 - x2 for x 2
Step by Step Solution
There are 3 Steps involved in it
Get step-by-step solutions from verified subject matter experts
