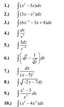
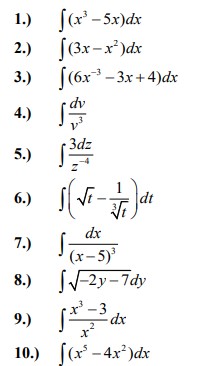
Question: Evaluate the integrals below 1.) [(x' -5x)dx 2.) [(3x - x' ) dx 3.) [(6x73 - 3x +4)dx dv 4.) 3dz 5.) 6.) dt dx

Evaluate the integrals below

1.) [(x' -5x)dx 2.) [(3x - x' ) dx 3.) [(6x73 - 3x +4)dx dv 4.) 3dz 5.) 6.) dt dx 7.) (x - 5) 8.) V-2y -7dy 9.) x -3 dx 2 X 10.) [(x5 -4x] ) dx
Step by Step Solution
There are 3 Steps involved in it
Get step-by-step solutions from verified subject matter experts
