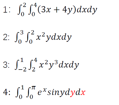
Question: Evaluate the iterated integrals: 1 : So So 3x + 4y) dxdy 2: So foxzydxdy 3: , S x2 y3 dxdy 4: 0 e sinydydx
Evaluate the iterated integrals:

1 : So So 3x + 4y) dxdy 2: So foxzydxdy 3: , S x2 y3 dxdy 4: 0 e sinydydx
Step by Step Solution
There are 3 Steps involved in it
Get step-by-step solutions from verified subject matter experts
