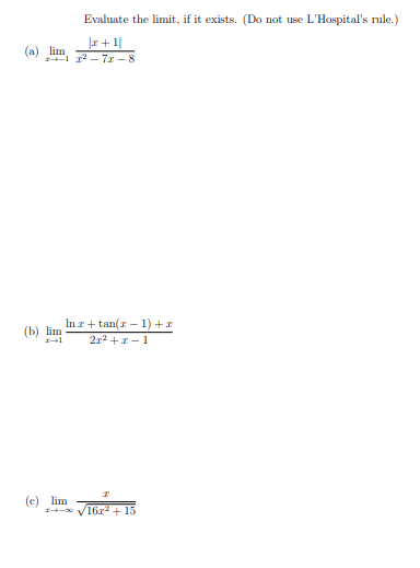
Question: Evaluate the limit, if it exists. (Do not use L'Hospital's rule.) er + 1 (a) lim 34- X' -70-8 Ing + tan(x - 1) +


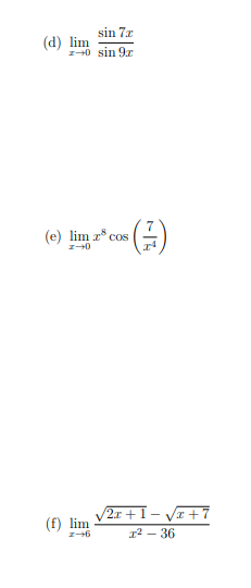
Evaluate the limit, if it exists. (Do not use L'Hospital's rule.) er + 1 (a) lim 34- X' -70-8 Ing + tan(x - 1) + r (b) lim r-+1 2x3 +x- 1 (c) lim 34- vur* + 15sin 7c (d) lim 340 sin 9x (e) lim r* cos (f) lim 2x+1- vc+ T-+6 12 -36
Step by Step Solution
There are 3 Steps involved in it
Get step-by-step solutions from verified subject matter experts
