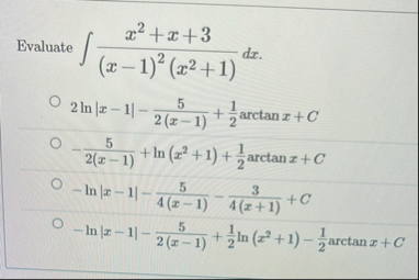
Question: Evaluate x 2 x 3 ( x - 1 ) 2 ( x 2 1 ) d x 2 l n | x - 1
Evaluate
Step by Step Solution
There are 3 Steps involved in it
1 Expert Approved Answer
Step: 1 Unlock
Question Has Been Solved by an Expert!
Get step-by-step solutions from verified subject matter experts
Step: 2 Unlock
Step: 3 Unlock
