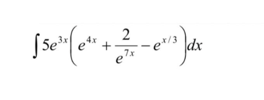
Question: Evalute this integral please, show steps and final answer 5e3x e4x
Evalute this integral please, show steps and final answer

5e3x e4x
Step by Step Solution
There are 3 Steps involved in it
Get step-by-step solutions from verified subject matter experts
