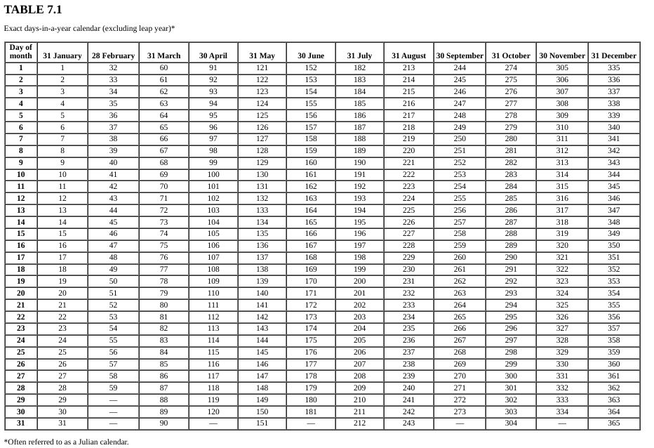
Question: Exact davs-in-a-vear calendar (excluding leab vear)* Complete the following, using exact interest. (Use Days in a year table.) Note: Do not round intermedlate calculations. Round


Exact davs-in-a-vear calendar (excluding leab vear)* Complete the following, using exact interest. (Use Days in a year table.) Note: Do not round intermedlate calculations. Round the "Interest" and "Maturity value" to the nearest cent
Step by Step Solution
There are 3 Steps involved in it
1 Expert Approved Answer
Step: 1 Unlock
Question Has Been Solved by an Expert!
Get step-by-step solutions from verified subject matter experts
Step: 2 Unlock
Step: 3 Unlock
