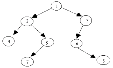
Question: Examine the following binary search tree and answer the question. The numbers on the nodes are labels so that we can talk about the nodes;
Examine the following binary search tree and answer the question. The numbers on the nodes are labels so that we can talk about the nodes; they are not values in the key members of the items in the tree.
4 2 7 5 1 6 8 3 is a traversal of the tree in which order?
A) Preorder
B) Postorder
C) Inorder
D) None of these answers is correct.
4 7
Step by Step Solution
There are 3 Steps involved in it
Get step-by-step solutions from verified subject matter experts
