Question: Example 1 (see JR Example 1.1) CES (constant elasticity of substitution) utility function: u = u(x1, x2) = (a1x(-1)/ +2x-1))/(0-1); > 0, 1 +


/0](https://s3.amazonaws.com/si.experts.images/answers/2024/05/6659bf0cab1cc_6446659bf0c36a0e.jpg)
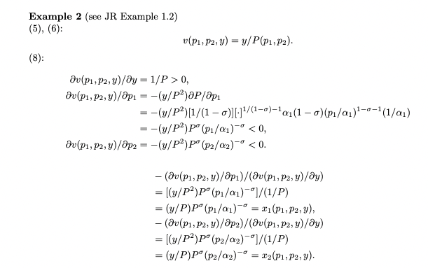
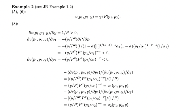
Example 1 (see JR Example 1.1) CES (constant elasticity of substitution) utility function: u = u(x1, x2) = (a1x(-1)/ +2x-1))/(0-1); > 0, 1 + a2 = 1,0 > 0. u(x1, x2) = [0/(0 - 1)](12 (0-1)/0 +2x2 u2(x1, x2) = 2u/x 9/110/110=10/(1-0) 2 (0-1)/0)0/(0-1)-1 1[(0-1)/0]{- MRS12(x1, x2)=u1(x1, x2)/u2(x1, x2) = (01/02)(x1/x2)-1/ (3): (01/02)(x1/12)1/0 = P1/P2- elasticity of substitution between goods 1 and 2: ES12(1, 2) - ln(x1/x2)/0ln(p/P2). (4): In(a/a2) (1/0) In(x/x2) = ln(p/P2) -(1/0)dln(x1/2) = dln(p1/p2) dln(1/2)/dln(p1/p2) = -0. ES12(x1, x2)=0. (2), (4): x1(P1, P2, y) = (p1/1)P(P1, P2)-y, special cases: x2(P1, P2, y) = (p2/2)P(P1, P2)-y; P(P1, P2) [a1(p1/1) 1-0 + a2(p2/2)-0]1/(1-0). = 0: u(x1, x2) = min[1, 2]: Leontief = 1 : u(x1, x2)=x: Cobb-Douglas = u(x1, x2) =a1x1 +2x2: linear in Leontief or linear case, (1) (and hence (3), (4)) does not apply automatically (6) (4)
Step by Step Solution
There are 3 Steps involved in it
Get step-by-step solutions from verified subject matter experts
