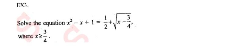
Question: EX3. Solve the equation - x + 1 3 where x2. 4 |314
EX3. Solve the equation - x + 1 3 where x2. 4 |314
Step by Step Solution
3.35 Rating (164 Votes )
There are 3 Steps involved in it
Get step-by-step solutions from verified subject matter experts
