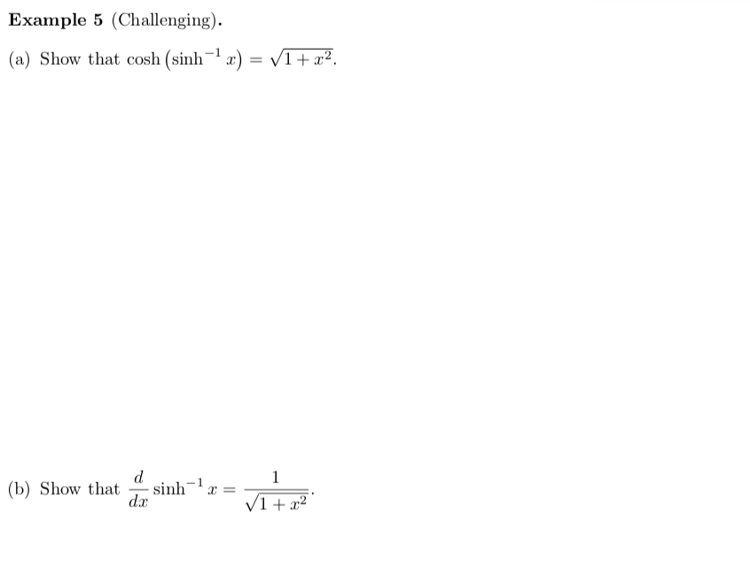
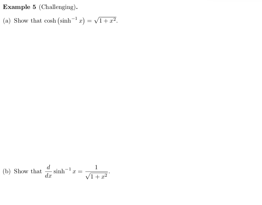
Question: Example 5 (Challenging). (a) Show that cosh (sinh ] x) = V1+ x2. (b) Show that - sinh.= V1 + x2
![Example 5 (Challenging). (a) Show that cosh (sinh ] x) =](https://s3.amazonaws.com/si.experts.images/answers/2024/06/666fa4b4edeb8_692666fa4b4e5cdc.jpg)

Example 5 (Challenging). (a) Show that cosh (sinh ] x) = V1+ x2. (b) Show that - sinh.= V1 + x2
Step by Step Solution
There are 3 Steps involved in it
Get step-by-step solutions from verified subject matter experts
