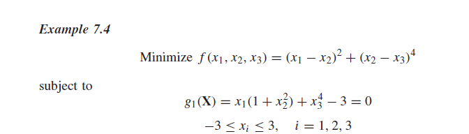
Question: Example 7 . 4 Minimize f ( x 1 , x 2 , x 3 ) = ( x 1 - x 2 ) 2
Example
Minimize
subject to
Create the Matlab code for the Example given under the topic heading. Algorithms will be created without using Matlab optimization builtin functions. The trajectory followed by the algorithms will be drawn on the function in Matlab and the resulting optimization point will be marked on the function.
Step by Step Solution
There are 3 Steps involved in it
1 Expert Approved Answer
Step: 1 Unlock
Question Has Been Solved by an Expert!
Get step-by-step solutions from verified subject matter experts
Step: 2 Unlock
Step: 3 Unlock
