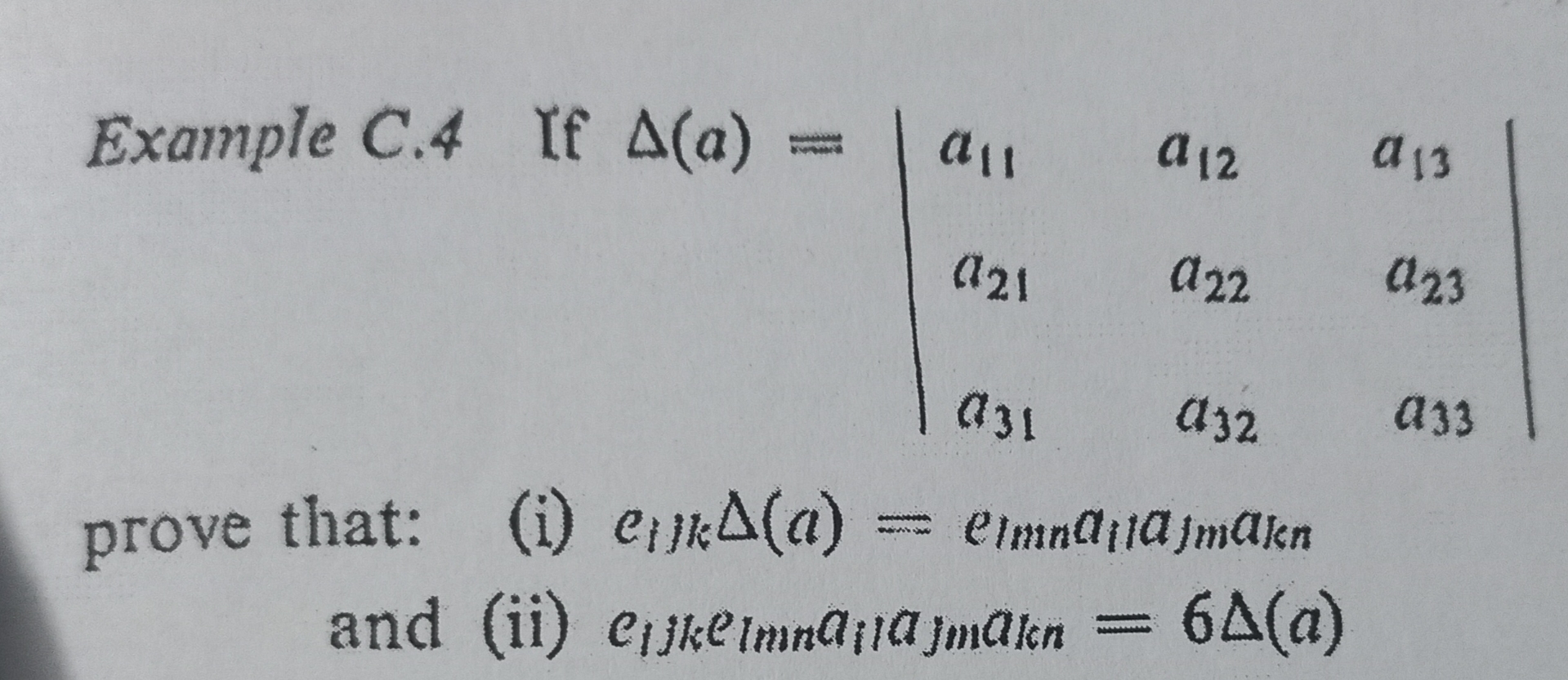
Question: Example C . 4 If A ( a ) prove that: ( ) eyA ( a ) a 2 d 2 2 dy 2 eimni
Example C If Aaprove that: eyAaaddyeimniaJmlkneimnll; ajmalenand i eiJke imnlia Jm@kn Aada
Step by Step Solution
There are 3 Steps involved in it
1 Expert Approved Answer
Step: 1 Unlock
Question Has Been Solved by an Expert!
Get step-by-step solutions from verified subject matter experts
Step: 2 Unlock
Step: 3 Unlock
