Question: Excel Assignment Texas Health Harris Methodist measures average wait time for patients in the ER is 45 minutes. The average wait time for the ER







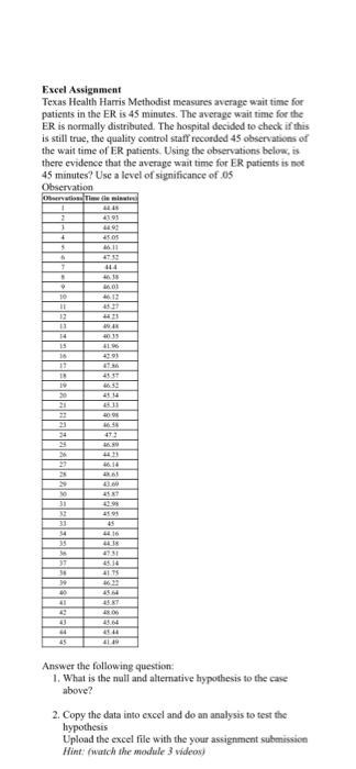
Excel Assignment Texas Health Harris Methodist measures average wait time for patients in the ER is 45 minutes. The average wait time for the ER is normally distributed. The hospital decided to check if this is still true, the quality control staff recorded 45 observations of the wait time of ER patients. Using the observations below, is there evidenee that the average wait time for ER patients is not 45 minutes? Use a level of significance of 05 Observation Answer the following question: 1. What is the null and altemative hypothesis to the case above? 2. Copy the data into cxeel and do an analysis to test the. hypothesis Upload the excel file with the your assignment submission Hint. (wartch the module 3 videos) 1. What is the noil and aliemutive hypotbesis to the case above? 2. Copy the data into excel and do an analysis to test the hypothesis Upload the excel file with the your assignment submission Hint: (waich the module 3 videos) 3. What is the conclusion of your analysis? (try to state it in terms of the original problem or quection) As a director of your HR department you want to see if there is a difference in salary based on gender in your industry. You take a sample of the salanies of males and females from different companies in your industry. Using the observations below, is there evidence that the average salary between males and female arn diffarand? I toa a lonal af vignificance of .05 4. What is the nall and aliemative hypothesis to the case above? 5. Copy the data into excel and do an analysis to test the hypothesis Upload the excel file with the your assignment submission 6. What is the conclusion of your analykis? (state it in terns of the original problem or question) WinCo Foods, a large Discount grocery retailer in the western United States, promotes itself as the lowed priced grocery retailer. In newspaper ads WinCo Foods published a price comparison for products between WinCo and scveral competing grocery retailers. One of the retailers compared against WinCo was Walmart, also known as a low-peice competitor. WinCo selected a variety of products, listed the price of the product charges at each retailer, and showed the sales receipt to prove the prices at WinCo were the lowest in the area. A sample of the products and their prioes comparisen at both WinCo and Walmart are shown in the following table: WinCo Foods, a large Discount grocery retailer in the western United States, promotes itself as the lowest priced grocery retailer. In newspaper ads WinCo Foods published a price comparison for products between WinCo and several competing grocery retailers. One of the retailers compared against WinCo was Walmart, also known as a low-price competiot, WinCo selected a variety of products, listed the price of the product charges at each retailer, and showed the sales receipt to prove the prices at WinCo were the lowest in the area. A sample of the products and their prices comparison at both WinCo and Walmart are shown in the following table: 7. What is the null and aliemative hypothesis to the case above? 8. Copy the data into excel and do an analysis to test the hypothesis Upload the excel file with the your assignment submission 9. What is the conclusion of your analysis? (State it in terms of the case or scenario) 10. At the bottom of the price list, the following statement appears: " Though this list is not intended to represent a typical weekly grocery order or a random list of grocery items, WinCo continues to be the area's low price leader" Why do you think WinCo added this statement? Texas Health Harris Methodist measures average wait time for patients in the ER is 45 minutes. The average wait time for the ER is normally distributed. The hospital decided to check if this is still true, the quality control staff recorded 45 observations of the wait time of ER patients. Using the observations below, is there evidence that the average wait time for ER patients is not 45 minutes? Use a level of significance of .05 Answer the following question: 1. What is the null and alternative hypothesis to the case pbove? 2. Copy the data into excel and do an analysis to test the hypothesis Upload the excel fle with the your assignment submission Mint: (watch the module 3 wideos) 3. What is the conclusion of your analysle? (try to state it in terms of the original problem or. question) As a director of your HR department you want to see if there is a difference in salary based on gender in your industry. You take a sample of the salaries of males and females from different companies in your industry. Using the observations below, is there evidence that the average salary between males and female are different? Use a level of significance of .05 4. What is the null and alternative hypothesis to the case above? 5. Copy the data into excel and do an analysis to test the hypothesis Upload the excel file with the your assignment submission 6. What is the conclusion of your analysis? (state it in terms of the original problem or question) WinCo Foods, a large Discount grocery retailer in the western United States, promotes itself as the lowest priced grocery retaller. In newspaper ads WinCo Foods published a price comparison for products between Winco and several competing grocery retailers. One of the retallers compared against WinCo was Walmart, also known as a low-price competitor. WinCo selected a variety of products, listed the price of the product charges at each retailer, and showed the sales receipt to prove the prices at WinCo were the lowest in the area. A sample of the products and their prices comparison at both Winco and Walmart are thown in the followine table: 7. What is the null and alternative hypothesis to the case above? 8. Copy the data into excel and do an analysis to test the hypothesis Upload the excel file with the your assignment submission 9. What is the conclusion of your analysis? (State it in terms of the case or scenario) 10. At the bottom of the price list, the following statement appears: "Though this list is not intended to represent a typical weekly grocery order or a random list of grocery items, Winco continues to be the area's low price leader" Why do you think Winco added this statement? Excel Assignment Texas Health Harris Methodist measures average wait time for patients in the ER is 45 minutes. The average wait time for the ER is normally distributed. The hospital decided to check if this is still true, the quality control staff recorded 45 observations of the wait time of ER patients. Using the observations below, is there evidenee that the average wait time for ER patients is not 45 minutes? Use a level of significance of 05 Observation Answer the following question: 1. What is the null and altemative hypothesis to the case above? 2. Copy the data into cxeel and do an analysis to test the. hypothesis Upload the excel file with the your assignment submission Hint. (wartch the module 3 videos) 1. What is the noil and aliemutive hypotbesis to the case above? 2. Copy the data into excel and do an analysis to test the hypothesis Upload the excel file with the your assignment submission Hint: (waich the module 3 videos) 3. What is the conclusion of your analysis? (try to state it in terms of the original problem or quection) As a director of your HR department you want to see if there is a difference in salary based on gender in your industry. You take a sample of the salanies of males and females from different companies in your industry. Using the observations below, is there evidence that the average salary between males and female arn diffarand? I toa a lonal af vignificance of .05 4. What is the nall and aliemative hypothesis to the case above? 5. Copy the data into excel and do an analysis to test the hypothesis Upload the excel file with the your assignment submission 6. What is the conclusion of your analykis? (state it in terns of the original problem or question) WinCo Foods, a large Discount grocery retailer in the western United States, promotes itself as the lowed priced grocery retailer. In newspaper ads WinCo Foods published a price comparison for products between WinCo and scveral competing grocery retailers. One of the retailers compared against WinCo was Walmart, also known as a low-peice competitor. WinCo selected a variety of products, listed the price of the product charges at each retailer, and showed the sales receipt to prove the prices at WinCo were the lowest in the area. A sample of the products and their prioes comparisen at both WinCo and Walmart are shown in the following table: WinCo Foods, a large Discount grocery retailer in the western United States, promotes itself as the lowest priced grocery retailer. In newspaper ads WinCo Foods published a price comparison for products between WinCo and several competing grocery retailers. One of the retailers compared against WinCo was Walmart, also known as a low-price competiot, WinCo selected a variety of products, listed the price of the product charges at each retailer, and showed the sales receipt to prove the prices at WinCo were the lowest in the area. A sample of the products and their prices comparison at both WinCo and Walmart are shown in the following table: 7. What is the null and aliemative hypothesis to the case above? 8. Copy the data into excel and do an analysis to test the hypothesis Upload the excel file with the your assignment submission 9. What is the conclusion of your analysis? (State it in terms of the case or scenario) 10. At the bottom of the price list, the following statement appears: " Though this list is not intended to represent a typical weekly grocery order or a random list of grocery items, WinCo continues to be the area's low price leader" Why do you think WinCo added this statement? Texas Health Harris Methodist measures average wait time for patients in the ER is 45 minutes. The average wait time for the ER is normally distributed. The hospital decided to check if this is still true, the quality control staff recorded 45 observations of the wait time of ER patients. Using the observations below, is there evidence that the average wait time for ER patients is not 45 minutes? Use a level of significance of .05 Answer the following question: 1. What is the null and alternative hypothesis to the case pbove? 2. Copy the data into excel and do an analysis to test the hypothesis Upload the excel fle with the your assignment submission Mint: (watch the module 3 wideos) 3. What is the conclusion of your analysle? (try to state it in terms of the original problem or. question) As a director of your HR department you want to see if there is a difference in salary based on gender in your industry. You take a sample of the salaries of males and females from different companies in your industry. Using the observations below, is there evidence that the average salary between males and female are different? Use a level of significance of .05 4. What is the null and alternative hypothesis to the case above? 5. Copy the data into excel and do an analysis to test the hypothesis Upload the excel file with the your assignment submission 6. What is the conclusion of your analysis? (state it in terms of the original problem or question) WinCo Foods, a large Discount grocery retailer in the western United States, promotes itself as the lowest priced grocery retaller. In newspaper ads WinCo Foods published a price comparison for products between Winco and several competing grocery retailers. One of the retallers compared against WinCo was Walmart, also known as a low-price competitor. WinCo selected a variety of products, listed the price of the product charges at each retailer, and showed the sales receipt to prove the prices at WinCo were the lowest in the area. A sample of the products and their prices comparison at both Winco and Walmart are thown in the followine table: 7. What is the null and alternative hypothesis to the case above? 8. Copy the data into excel and do an analysis to test the hypothesis Upload the excel file with the your assignment submission 9. What is the conclusion of your analysis? (State it in terms of the case or scenario) 10. At the bottom of the price list, the following statement appears: "Though this list is not intended to represent a typical weekly grocery order or a random list of grocery items, Winco continues to be the area's low price leader" Why do you think Winco added this statement
Step by Step Solution
There are 3 Steps involved in it
Get step-by-step solutions from verified subject matter experts
