Question: Excel Task 1. Freightos received an invoice from Qatar Airways for shipments (AWBS) booked during April. As a FinOps associate, one of your responsibilities





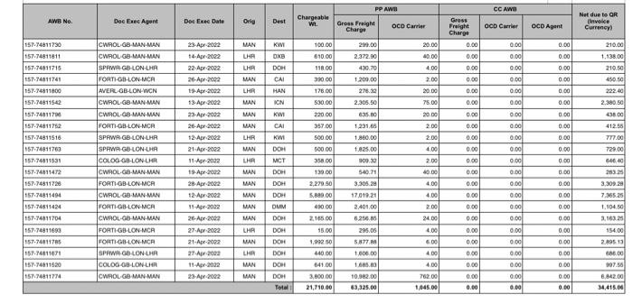
Excel Task 1. Freightos received an invoice from Qatar Airways for shipments (AWBS) booked during April. As a FinOps associate, one of your responsibilities will be to perform reconciliation and ensure that the shipment data which we capture in NetSuite matches the data on the invoices which we receive. If there is some kind of discrepancy, you will need to inquire internally with the product team and externally with Qatar to understand what happened and how to prevent further discrepancies. It's your first time receiving an invoice in your new role, and it's time to reconcile before issuing payment. Please go ahead and find any discrepancies between the Qatar invoice (green) and the shipment details in Netsuite (yellow).
Step by Step Solution
There are 3 Steps involved in it
Get step-by-step solutions from verified subject matter experts
