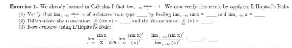
Question: Excreise 1. We dready earned in Codeilo I that limit =1 . We now verify his result We applyin I'llopial's Role. owy finding lim, +

Step by Step Solution
There are 3 Steps involved in it
1 Expert Approved Answer
Step: 1 Unlock
Question Has Been Solved by an Expert!
Get step-by-step solutions from verified subject matter experts
Step: 2 Unlock
Step: 3 Unlock
