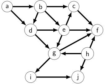
Question: Execute topological sort on the following directed graph. If there is a choice handle vertices in alphabetic order. Your answer should be a string 1(1)1(2)1(10)
Execute topological sort on the following directed graph. If there is a choice handle vertices in alphabetic order. Your answer should be a string 1(1)1(2)1(10) without separators.
a b d f bo h i j
Step by Step Solution
There are 3 Steps involved in it
1 Expert Approved Answer
Step: 1 Unlock
Question Has Been Solved by an Expert!
Get step-by-step solutions from verified subject matter experts
Step: 2 Unlock
Step: 3 Unlock
