Question: Exercise 1 5 - 1 5 ( Algo ) Sales - type lease; lessor; income statement effects [ LO 1 5 - 3 ] Zhang
Exercise Algo Salestype lease; lessor; income statement effects LO
Zhang Company leased equipment from Mann Industrles. The lease agreement qualfies as a finance lease and requires annual lease
payments of $ over a slxyear lease term also the asset's useful life with the first payment on January the beginning of the
lease. The interest rate is The asset being leased cost Mann $ to produce.
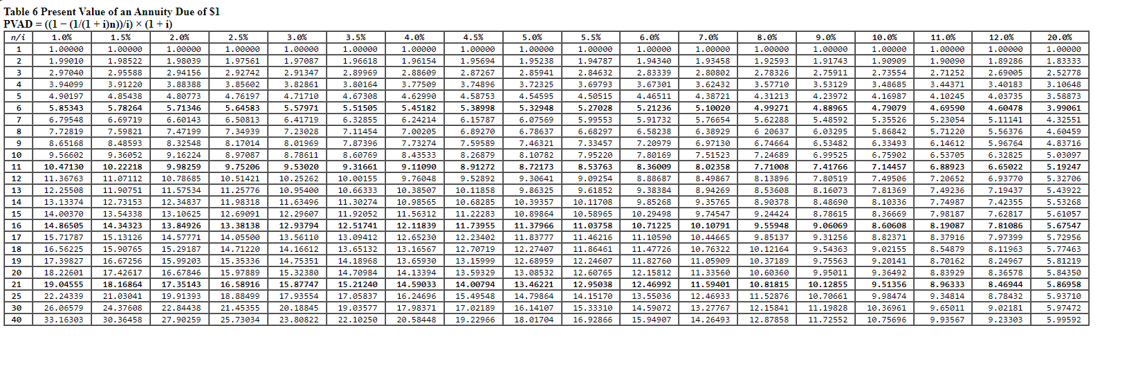
Note: Use tables, Excel, or a financlal calculator. FV of $ PV of $ FVA of $ PVA of $ FVAD of $ and PVAD of $
Required:
Determine the price at which the lessor is "selling" the asset present value of the lease payments
What would be the amounts related to the lease that the lessor would report in Its income statement for the year ended
December Ignore taxes
Answer is complete but not entirely correct.
Complete this question by entering your answers in the tabs below.
Determine the price at which the lessor is "selling" the asset present value of the lease payments
Note: Round your intermediate and final answers to the nearest whole dollar.Exercise Algo Salestype lease; lessor; income statement effects LO
Zhang Company leased equipment from Mann Industrles. The lease agreement qualifies as a finance lease and requires annual lease
payments of $ over a slxyear lease term also the asset's useful life with the first payment on January the beginning of the
lease. The interest rate is The asset being leased cost Mann $ to produce.
Note: Use tables, Excel, or a financlal calculator. FV of $ PV of $ FVA of $ PVA of $ FVAD of $ and PVAD of $
Required:
Determine the price at which the lessor is "selling" the asset present value of the lease payments
What would be the amounts related to the lease that the lessor would report in its Income statement for the year ended
December Ignore taxes
Answer is complete but not entirely correct.
Complete this question by entering your answers in the tabs below.
What would be the amounts related to the lease that the lessor would report in its income statement for the year ended
December ignore taxes
Note: Input decreases to income as negative amounts. Round your intermediate and final answers to the nearest whole dollar.Table Present Value of an Annuity Due of $
PVAD
table
Step by Step Solution
There are 3 Steps involved in it
1 Expert Approved Answer
Step: 1 Unlock
Question Has Been Solved by an Expert!
Get step-by-step solutions from verified subject matter experts
Step: 2 Unlock
Step: 3 Unlock
