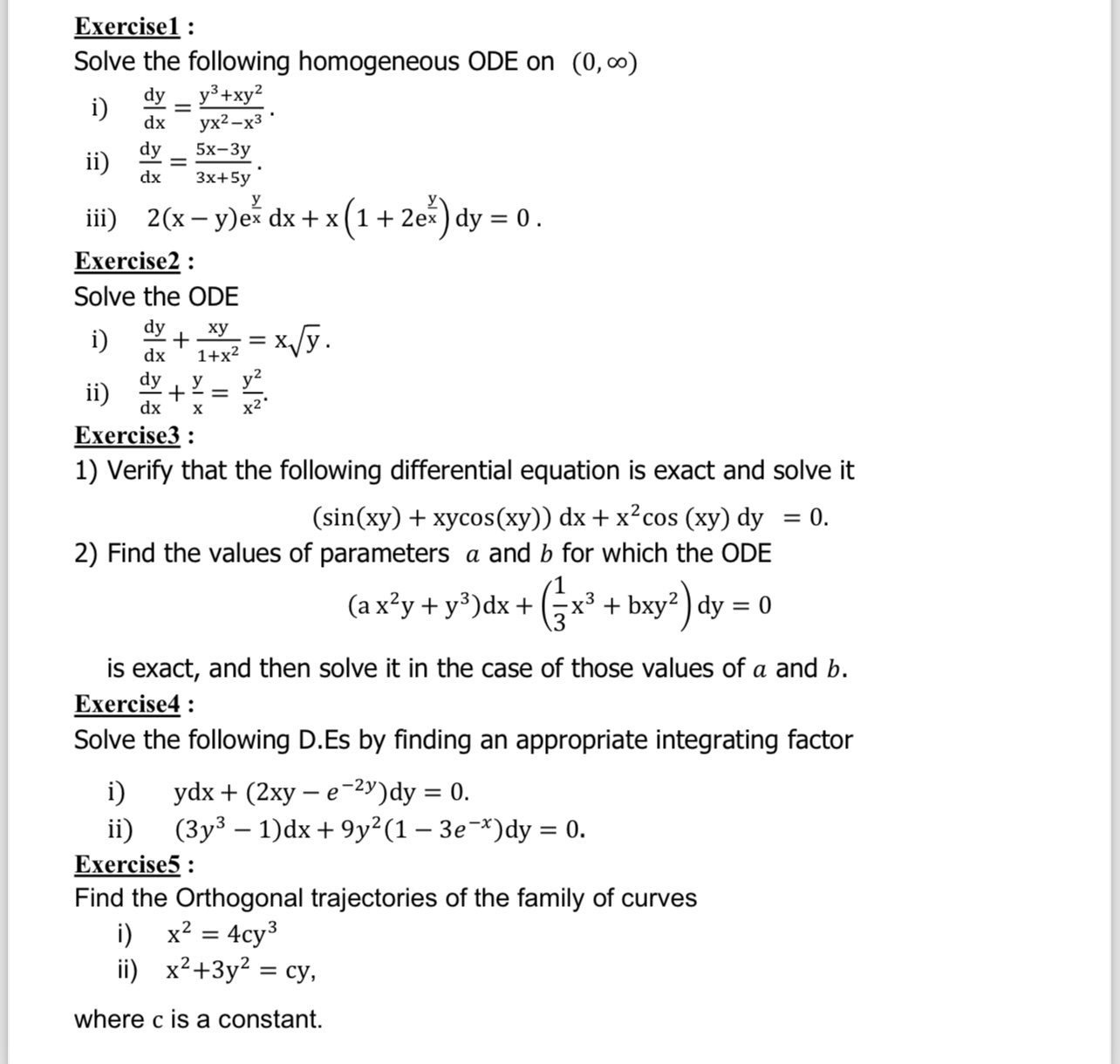
Question: Exercise 1 : Solve the following homogeneous ODE on ( 0 , ) i ) d y d x = y 3 + x y
Exercise:
Solve the following homogeneous ODE on
i
ii
iii
Exercise :
Solve the ODE
i
ii
Exercise :
Verify that the following differential equation is exact and solve it
xycos
Find the values of parameters a and for which the ODE
is exact, and then solve it in the case of those values of a and
Exercise:
Solve the following
DEs by finding an appropriate integrating factor
i
ii
Exercise:
Find the Orthogonal trajectories of the family of curves
i
ii
where c is a constant.
Step by Step Solution
There are 3 Steps involved in it
1 Expert Approved Answer
Step: 1 Unlock
Question Has Been Solved by an Expert!
Get step-by-step solutions from verified subject matter experts
Step: 2 Unlock
Step: 3 Unlock
