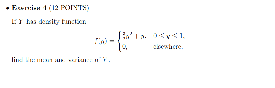
Question: Exercise 4 (12 POINTS) If Y has density function 3y+y, 0 y 1, f(y) = 0, elsewhere, find the mean and variance of Y.

Exercise 4 (12 POINTS) If Y has density function 3y+y, 0 y 1, f(y) = 0, elsewhere, find the mean and variance of Y.
Step by Step Solution
There are 3 Steps involved in it
Get step-by-step solutions from verified subject matter experts
