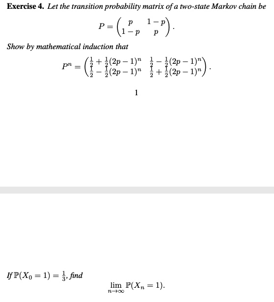
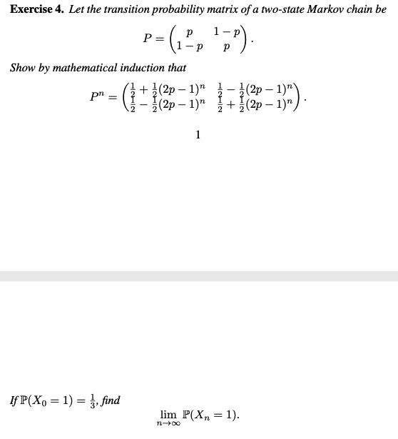
Question: Exercise 4. Let the transition probability matrix of a two-state Markov chain be P = P 1 -P Show by mathematical induction that pn +


Exercise 4. Let the transition probability matrix of a two-state Markov chain be P = P 1 -P Show by mathematical induction that pn + }(2p - 1)" = - (2p - 1)72 \\ NSIHIM (2p - 1)" + (2p - 1)" IfP(Xo = 1) = 3, find lim P(X, = 1)
Step by Step Solution
There are 3 Steps involved in it
Get step-by-step solutions from verified subject matter experts
