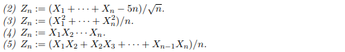
Question: Exercise &. Let HI, My.... be independent identically distributed random variables with mean ]. variance }}, and such that FIT, _ O) _ O. For

![with mean ]. variance }}, and such that FIT, _ O) _](https://dsd5zvtm8ll6.cloudfront.net/si.experts.images/questions/2024/10/67116d9c87a98_42067116d9c744ab.jpg)
Exercise &. Let HI, My.... be independent identically distributed random variables with mean ]. variance }}, and such that FIT, _ O) _ O. For each of the following ways of defining &. determine* whether the sequence In converges almost surely to a real number, and if it does, identify the limit.\f
Step by Step Solution
There are 3 Steps involved in it
Get step-by-step solutions from verified subject matter experts
