Question: Expand the given function in Laurent's series only. (Don't use software for solving) I will be report you for using software & for incorrect answer
Expand the given function in Laurent's series only. (Don't use software for solving) I will be report you for using software & for incorrect answer

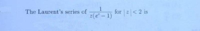
The Laurent's series of z(ez1)1 for z
Step by Step Solution
There are 3 Steps involved in it
Get step-by-step solutions from verified subject matter experts
