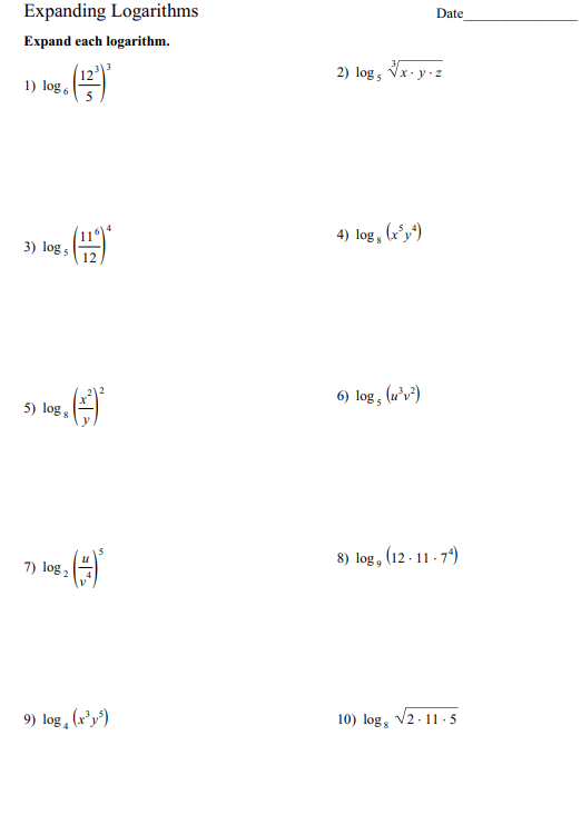
Question: Expanding Logarithms Date Expand each logarithm. 2) log , Vx . V . = 1) log 6 12 5 4) log, (x y*) 3) log

Step by Step Solution
There are 3 Steps involved in it
1 Expert Approved Answer
Step: 1 Unlock
Question Has Been Solved by an Expert!
Get step-by-step solutions from verified subject matter experts
Step: 2 Unlock
Step: 3 Unlock
