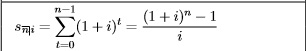
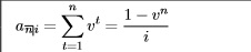
Question: Explain what every term means in the two formulas below and explain what they are used to calculate. Then pick the appropriate formula to solve
Explain what every term means in the two formulas below and explain what they are used to calculate.
Then pick the appropriate formula to solve the problems.



| 1 - 1 + 1 - 1 11) The Chretiens bought a rental property valued at $125 000.00 by paying 25% down and mortgaging the balance over 21.5 years through equal payments at the end of each quarter at 8.6% compounded quarterly. What was the size of the quarterly payments? 12) How many monthly payments will it take for $1000.00 deposited at the end of each month to amount to $50000.00 at 9% compounded monthly
Step by Step Solution
There are 3 Steps involved in it
Get step-by-step solutions from verified subject matter experts
