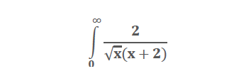
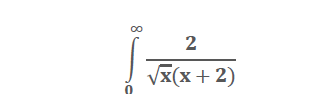
Question: Explain why the integral is improper and determine whether it diverges or converges. Evaluate the integral if it converges.

Explain why the integral is improper and determine whether it diverges or converges. Evaluate the integral if it converges.

Step by Step Solution
There are 3 Steps involved in it
Get step-by-step solutions from verified subject matter experts
