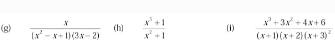
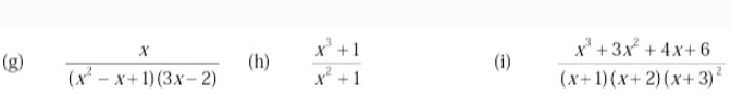
Question: express as sum of partial fraction x (g) x x +1 +1

express as sum of partial fraction

x (g) x x +1 +1
Step by Step Solution
There are 3 Steps involved in it
Get step-by-step solutions from verified subject matter experts
