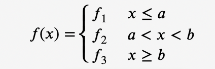
Question: Express the function()=3|4||+2| in piecewise form without using absolute values; aka, find a, b, f 1 , f 2 , and f 3 . (Formatting
Express the function()=3|4||+2| in piecewise form without using absolute values; aka, find a, b, f1, f2, and f3.
(Formatting was being a bother, so here is the included "key" of sorts for answering.)

Step by Step Solution
There are 3 Steps involved in it
Get step-by-step solutions from verified subject matter experts
