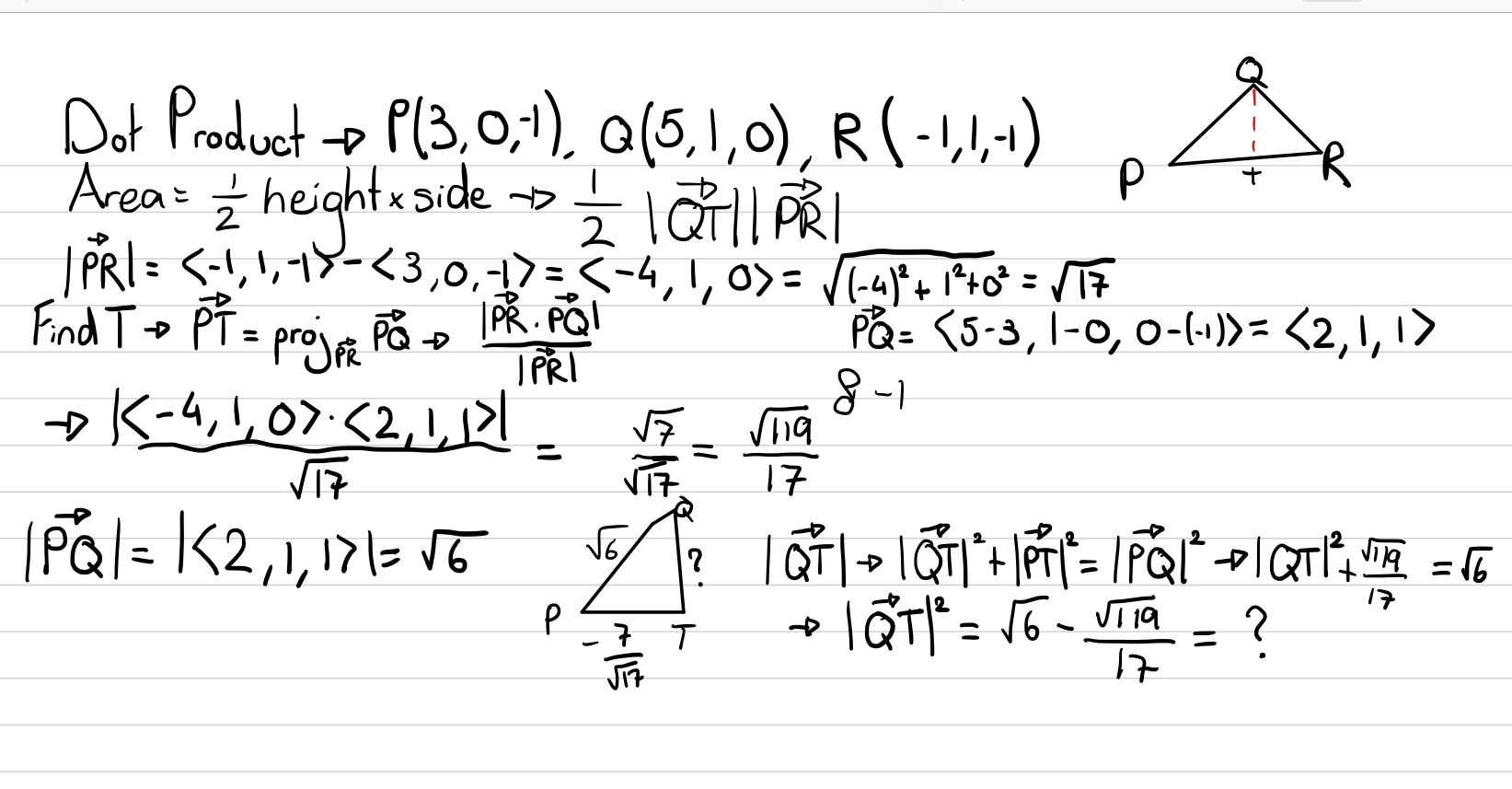
Question: 0(5, 1/0) R Dob ProduJ p d-rI -Lhej iRl 1 (5-3, 1-0, 1 -p QT


0(5, 1/0) R Dob ProduJ p d-rI -Lhej iRl 1 (5-3, 1-0, 1 -p QT
Step by Step Solution
There are 3 Steps involved in it
Get step-by-step solutions from verified subject matter experts
