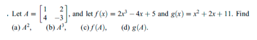
Question: 2 , and let f (x) 2.v3 4.r 5 and g(x) + 2r+ I l. Find (a) ,42,


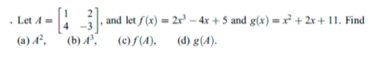
2 , and let f (x) 2.v3 4.r 5 and g(x) + 2r+ I l. Find (a) ,42,
Step by Step Solution
There are 3 Steps involved in it
Get step-by-step solutions from verified subject matter experts
