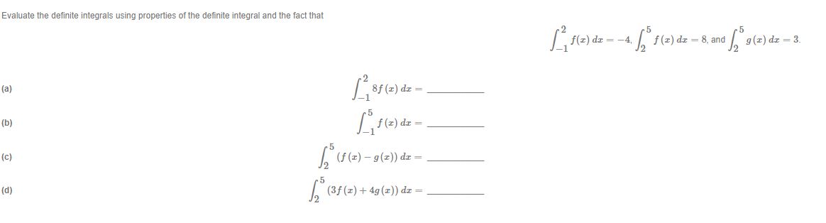
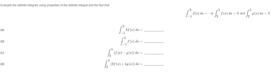
Question: Evaluate the definite integrals using properties of the definite integral and the fact that f(x) dx 8f (x) dx + 4g(x)) = 8, and


Evaluate the definite integrals using properties of the definite integral and the fact that f(x) dx 8f (x) dx + 4g(x)) = 8, and
Step by Step Solution
There are 3 Steps involved in it
1 Expert Approved Answer
Step: 1 Unlock
Question Has Been Solved by an Expert!
Get step-by-step solutions from verified subject matter experts
Step: 2 Unlock
Step: 3 Unlock
