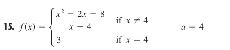
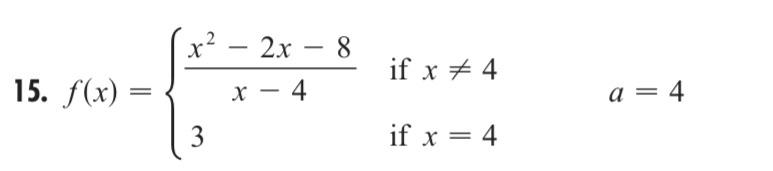
Question: 15 f (x) = x 2 2x 8 3 if x 4 if x = 4


15 f (x) = x 2 2x 8 3 if x 4 if x = 4
Step by Step Solution
There are 3 Steps involved in it
1 Expert Approved Answer
Step: 1 Unlock
Question Has Been Solved by an Expert!
Get step-by-step solutions from verified subject matter experts
Step: 2 Unlock
Step: 3 Unlock
