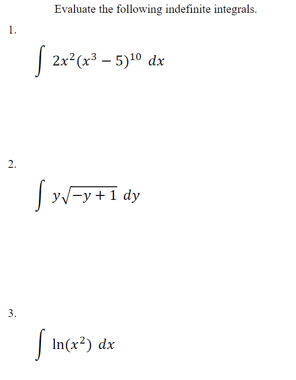
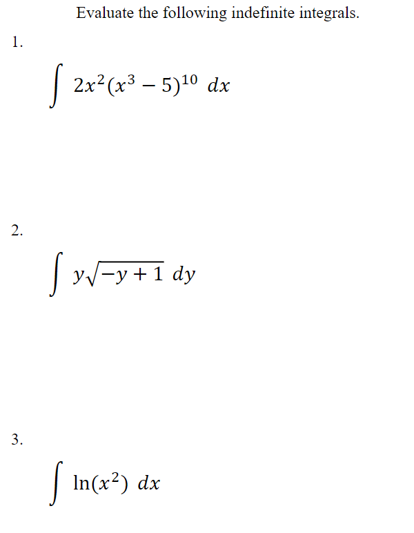
Question: Evaluate the following indefinite integrals. 2x2(x3 In(x2) dx 5)10 dx 2. 3.


Evaluate the following indefinite integrals. 2x2(x3 In(x2) dx 5)10 dx 2. 3.
Step by Step Solution
There are 3 Steps involved in it
Get step-by-step solutions from verified subject matter experts
