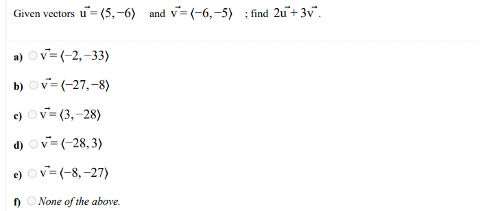
Question: Given vectors u = (5, 6) (-2, -33) (-27, -8) (3, -28) (-28, 3) (-8, -27) None Of the above. and v ; find


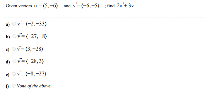
Given vectors u = (5, 6) (-2, -33) (-27, -8) (3, -28) (-28, 3) (-8, -27) None Of the above. and v ; find 3
Step by Step Solution
There are 3 Steps involved in it
Get step-by-step solutions from verified subject matter experts
