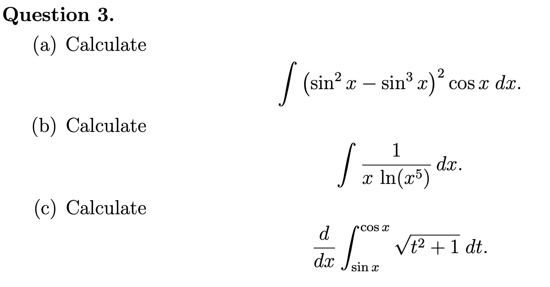
Question: Question 3. (a) Calculate sin sin (b) Calculate (c) Calculate 1 cosc u. u. 5) cos p + 1 dt. sin


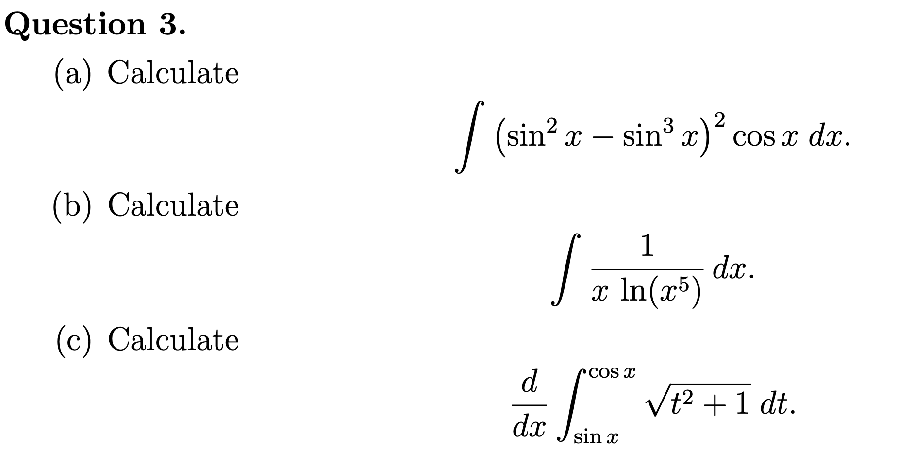
Question 3. (a) Calculate sin sin (b) Calculate (c) Calculate 1 cosc u. u. 5) cos p + 1 dt. sin
Step by Step Solution
There are 3 Steps involved in it
Get step-by-step solutions from verified subject matter experts
