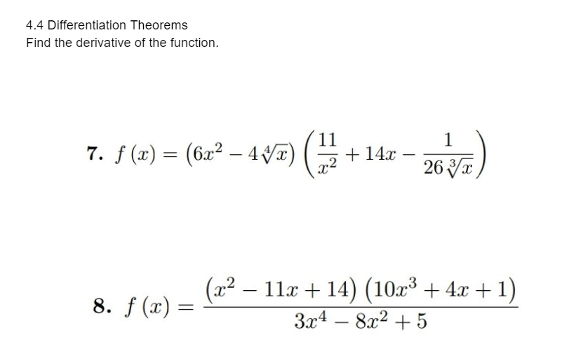
Question: 4.4 Differentiation Theorems Find the derivative of the function. 11 -46) -y + 14T 1 (6x2 (2 14) I) 3x4 8x2 + 5


4.4 Differentiation Theorems Find the derivative of the function. 11 -46) -y + 14T 1 (6x2 (2 14) I) 3x4 8x2 + 5
Step by Step Solution
There are 3 Steps involved in it
Get step-by-step solutions from verified subject matter experts
