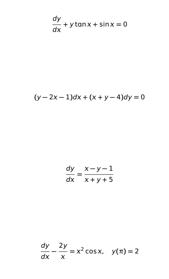
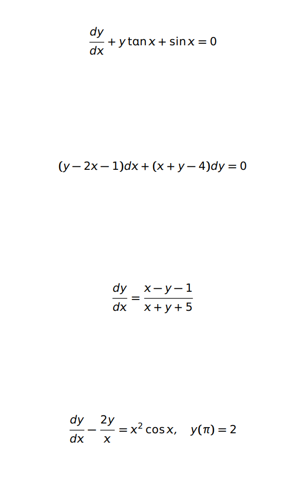
Question: dy _ + ytanx+ sinx = O dx (y 2x l)dx + (x + Y dy 4)dy O y(TT) = 2 dx = x2


dy _ + ytanx+ sinx = O dx (y 2x l)dx + (x + Y dy 4)dy O y(TT) = 2 dx = x2 cosx, x
Step by Step Solution
There are 3 Steps involved in it
Get step-by-step solutions from verified subject matter experts
