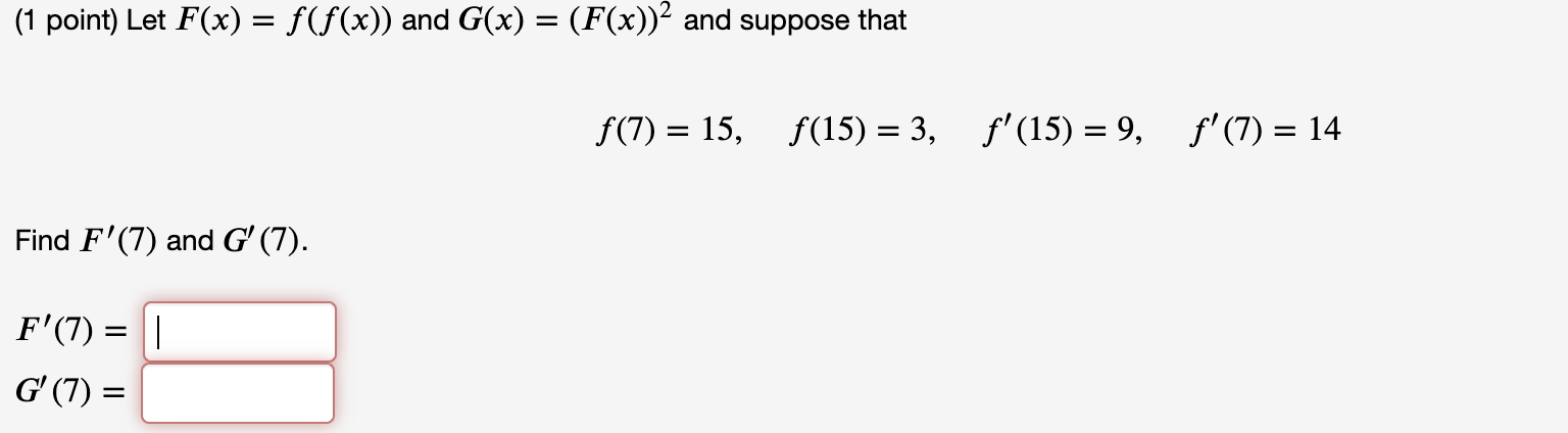
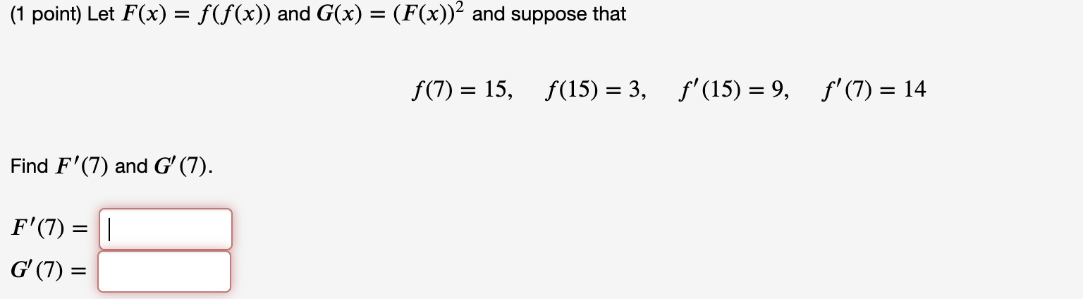
Question: (1 point) Let F(x) -9, = 14 f (f (x)) and G(x) = (F(x))2 and suppose that - 15, f(15) = 3, f'(15) -


(1 point) Let F(x) -9, = 14 f (f (x)) and G(x) = (F(x))2 and suppose that - 15, f(15) = 3, f'(15) - Find F' (7) and G'
Step by Step Solution
There are 3 Steps involved in it
Get step-by-step solutions from verified subject matter experts
