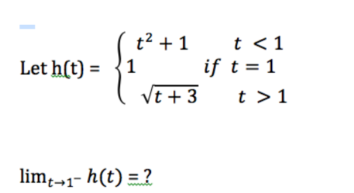
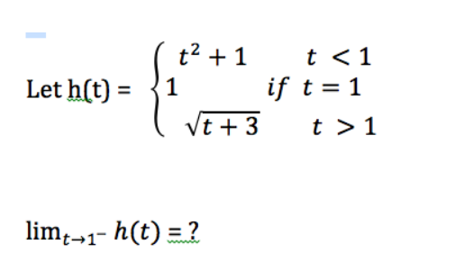
Question: Let h(t) = limt_. h(t) 1 if t = 1


Let h(t) = limt_. h(t) 1 if t = 1
Step by Step Solution
There are 3 Steps involved in it
Get step-by-step solutions from verified subject matter experts
