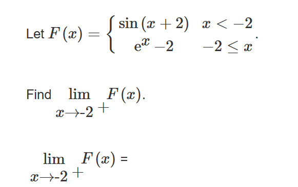
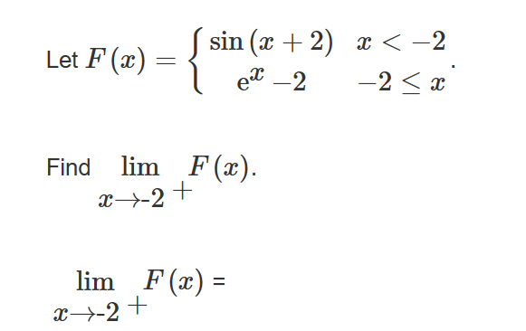
Question: sin (c +2) c < 2 Let F (c) Find lim F (c). lim


sin (c +2) c < 2 Let F (c) Find lim F (c). lim
Step by Step Solution
There are 3 Steps involved in it
Get step-by-step solutions from verified subject matter experts
