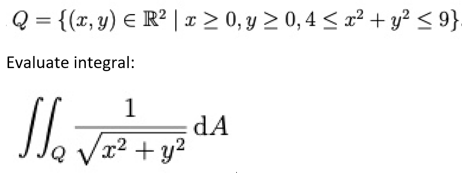
Question: Evaluate integral: 1


Evaluate integral: 1
Step by Step Solution
There are 3 Steps involved in it
Get step-by-step solutions from verified subject matter experts


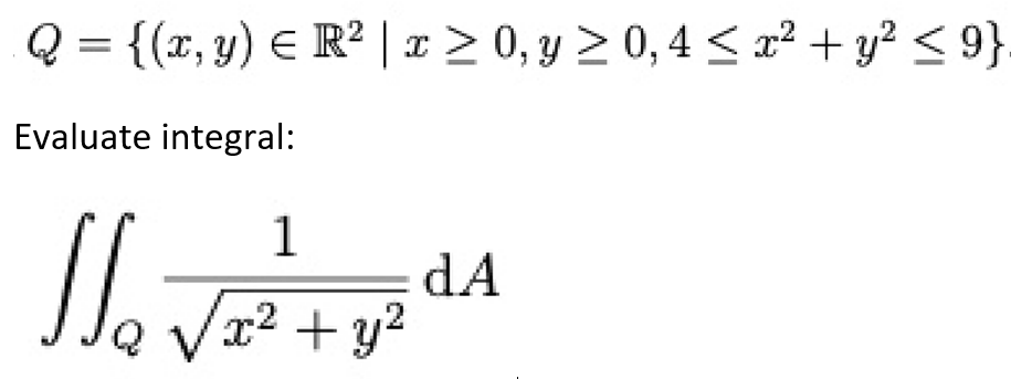
Evaluate integral: 1
There are 3 Steps involved in it
Get step-by-step solutions from verified subject matter experts