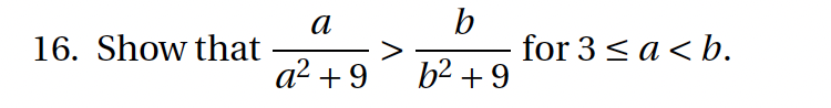
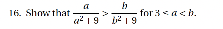
Question: 16. a Show that b for 3 s a < b. b2 + 9


16. a Show that b for 3 s a < b. b2 + 9
Step by Step Solution
There are 3 Steps involved in it
Get step-by-step solutions from verified subject matter experts
