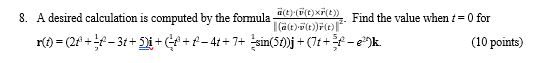
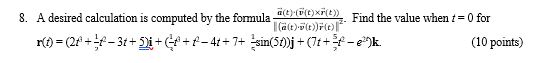
Question: S. A desired calculation is computed by the formula _ Find the value t = O for (10 points)


S. A desired calculation is computed by the formula _ Find the value t = O for (10 points)
Step by Step Solution
There are 3 Steps involved in it
Get step-by-step solutions from verified subject matter experts
