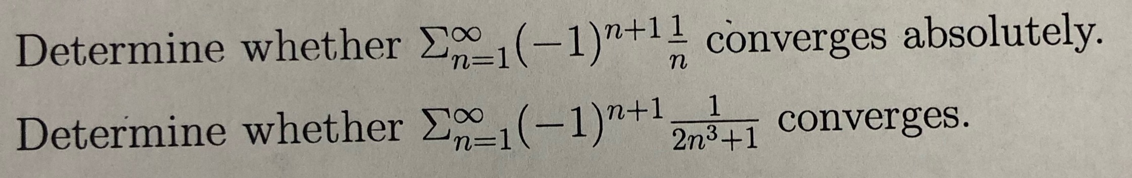
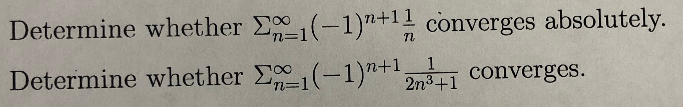
Question: 1)n+1L Determine whether converges absolutely. Determine whether ENI (1)n+1 1 converges.


1)n+1L Determine whether converges absolutely. Determine whether ENI (1)n+1 1 converges.
Step by Step Solution
There are 3 Steps involved in it
Get step-by-step solutions from verified subject matter experts
