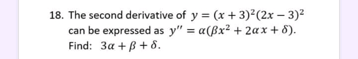
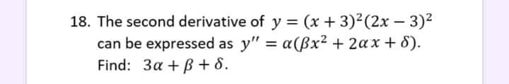
Question: 18. The second derivative of y = (x + (2x can be expressed as Y' = a(x2 + 2CtX + 6). Find: 3a-F+


18. The second derivative of y = (x + (2x can be expressed as Y"' = a(x2 + 2CtX + 6). Find: 3a-F+
Step by Step Solution
There are 3 Steps involved in it
Get step-by-step solutions from verified subject matter experts
