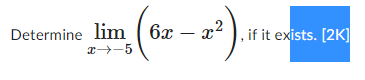
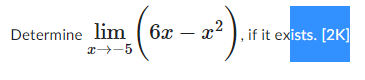
Question: lim Determine ,ists. 12K] , if it e
![lim Determine ,ists. 12K] , if it e](https://s3.amazonaws.com/si.experts.images/answers/2024/06/6664c8b12464b_0096664c8b1141a4.jpg)

lim Determine ,ists. 12K] , if it e
Step by Step Solution
There are 3 Steps involved in it
Get step-by-step solutions from verified subject matter experts
