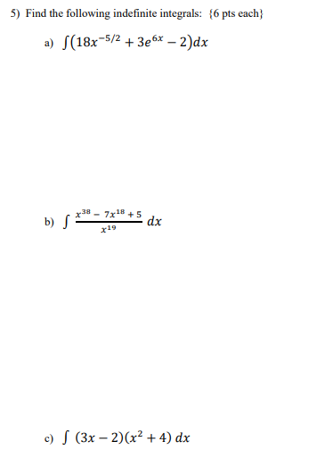
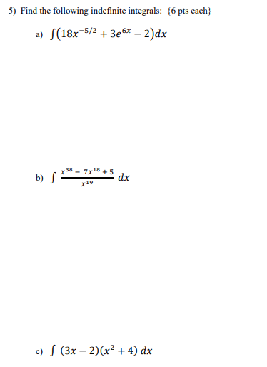
Question: 5) Find the following indefinite integrals: {6 pts each} a) f (18x5/2 + 3e6x 2)dx 38


5) Find the following indefinite integrals: {6 pts each} a) f (18x5/2 + 3e6x 2)dx 38
Step by Step Solution
There are 3 Steps involved in it
Get step-by-step solutions from verified subject matter experts
