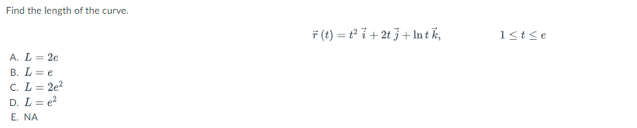
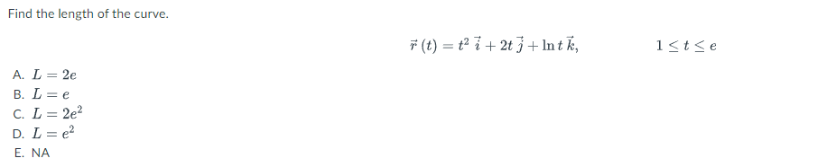
Question: Find the length of the curve. L = 2e2 c.


Find the length of the curve. L = 2e2 c.
Step by Step Solution
There are 3 Steps involved in it
Get step-by-step solutions from verified subject matter experts
